목차
- 면역력과 발효식품의 과학적 상관관계
- 한국 전통 발효식품의 미생물과 면역기 전
- 장 내균총과 발효식품의 면역력 강화 메커니즘
- 결론: 한국 발효식문화의 미래적 가치
한국의 발효식품은 단순한 전통의 유산이 아니라,
면역 조절과 세포 회복을 돕는 과학적 기능식품입니다.
김치, 된장, 청국장, 간장, 고추장에 포함된 유산균과 발효 부산물은
면역세포의 균형을 유지하고, 염증을 조절하며, 장 내 환경을 최적화하는 역할을 합니다.
이 글에서는 발효식품이 면역력에 미치는 과학적 상관관계를
면역 생리학·미생물학·영양학의 세 가지 관점에서 심층적으로 살펴봅니다.
1️⃣ 면역력과 발효식품의 과학적 상관관계
면역력은 단순히 병에 잘 걸리지 않는 상태를 의미하지 않습니다.
이는 인체가 **항원(바이러스, 세균 등)**에 대해 방어 반응을 조절하고,
손상된 세포를 복구하며, 스스로 균형을 회복하는 능력입니다.
이 면역 시스템의 중심에는 ‘장 내 미생물 생태계(Gut Microbiota)’가 있습니다.
인체 면역세포의 약 70%가 장점막에 집중되어 있으며,
발효식품이 바로 이 장 내 환경을 조절하는 핵심 요인으로 작용합니다.

🍽️ 발효식품과 면역력의 연결고리
발효 과정은 단순히 ‘맛을 숙성하는 과정’이 아닙니다.
이 과정에서 생성되는 프로바이오틱스(유익균),
그리고 이들이 만들어내는 **생리활성물질(유기산, 펩타이드, 항산화 물질 등)**이
면역 세포의 활동을 직접적으로 자극하고 균형을 잡아줍니다.
📊 [표 1] 발효 성분별 면역 작용 및 대표 식품
| 유산균 (Lactobacillus) | 장내 세균총 균형 유지, 면역세포 활성화 | 김치, 요구르트 |
| 펩타이드 (Peptides) | 세포 간 신호전달, 항염 효과 | 청국장, 된장 |
| 유기산 (Organic Acids) | 병원균 억제, 장내 pH 조절 | 간장, 막걸리 |
| 항산화 물질 (Antioxidants) | 활성산소 억제, 세포 손상 방지 | 고추장, 된장 |
📘 출처: 한국식품연구원 「발효식품의 생리활성 연구 보고서」 (2024)
🌿 “발효식품과 면역 세포의 상호작용 다이어그램”
이미지 구성:
- 왼쪽: 김치·된장·청국장의 발효 과정
- 중앙: 유산균·펩타이드가 면역세포(T세포, NK세포)에 신호를 보내는 장면
- 오른쪽: 염증 억제 및 항바이러스 효과를 나타내는 그래픽
📘 이미지 설명
이 인포그래픽은 한국 전통 발효식품이 인체 면역계에 미치는 영향을 시각적으로 표현한 자료입니다.
왼쪽의 발효식품(김치, 된장, 청국장 등)은 다양한 유익균(유산균, 바실러스균, 효모 등)을 생성하며,
이 미생물들은 장 내 환경을 개선하고 면역세포의 균형을 유지하는 데 중요한 역할을 합니다.
오른쪽의 ‘발효 미생물 네트워크’는 이러한 복합 미생물의 상호작용이 면역계 조절 루프를 형성함을 나타냅니다.
즉,
“발효식품 → 미생물 다양성 증진 → 장 내균총 안정화 → 면역계 조절”
이라는 순환 메커니즘을 통해 면역력 강화가 이루어집니다.
📸 출처 제안: 직접 제작 또는 한국식품연구원 인포그래픽 참고 (2024)

🧫 발효 과정에서 일어나는 과학적 변화
한국 전통 발효식품은 천연 미생물의 상호작용을 기반으로 합니다.
대표적으로 김치에는 젖산균(Lactobacillus plantarum),
된장에는 바실러스균(Bacillus subtilis),
막걸리에는 효모(Yeast Saccharomyces cerevisiae)가 주요 균으로 작용합니다.
이들은 발효 중 다음과 같은 생리활성 물질을 생성합니다.
| 젖산(Lactic acid) | 병원균 억제 | 장내 pH 유지, 유해균 감소 |
| 이소플라본(Isolflavone) | 항산화 및 항염 | 세포 손상 억제, 면역세포 활성화 |
| 효소(Enzymes) | 단백질 분해 | 소화력 향상, 면역단백질 생성 촉진 |
| 폴리페놀(Polyphenol) | 항산화 및 항균 | 염증 반응 감소, 노화 방지 |
📖 출처: 농촌진흥청 발효과학센터 「한국 발효식품의 미생물 다양성」 (2023)
📈 [그래프 ]

“발효식품 섭취 전후 면역세포 활성도 변화”
X축: 섭취 전 → 2주 → 4주
Y축: NK세포 활성도 (%)
| 김치군 | 100 | 128 | 142 |
| 청국장군 | 100 | 134 | 151 |
| 대조군 | 100 | 102 | 105 |
📊 결과 해석:
4주간 김치 및 청국장 섭취군의 NK세포 활성도는 평균 +45% 증가,
염증성 사이토카인(IL-6)은 약 30% 감소.
이는 발효 미생물이 면역세포 활성화를 유도하고 염증을 완화한다는 과학적 근거를 보여줍니다.
📘 출처: 한국영양학회 「Fermented Foods and Immunity Response Study」 (2024)
🧩 ‘공생형 발효’의 한국적 특성
외국의 단일균 발효식품(예: 요구르트, 치즈)과 달리,
한국 발효식품은 여러 미생물이 **공생적(Symbiotic)**으로 작용합니다.
예를 들어, 김치의 Leuconostoc이 산을 생성하면 Lactobacillus가 이를 이용해
2차 대사산물을 만들고, 이는 장 내 유익균 증식을 촉진합니다.
이 복합균 발효 시스템이 바로 한국 발효식품이
면역 증진에 더욱 탁월한 이유입니다.
📚 요약 포인트
- 발효식품은 유익균과 생리활성물질을 통해 면역계 균형 유지
- 발효 부산물(펩타이드, 유기산)은 항염·항산화 작용으로 세포 손상 억제
- 한국식 발효는 ‘공생형’으로, 장 내 미생물 다양성을 극대화
- 장 내 환경 개선 → 면역세포 활성 → 염증 억제 → 면역력 강화
🔎 자료 출처 Summary
- 한국식품연구원, 「발효식품의 생리활성 연구 보고서」, 2024
- 농촌진흥청 발효과학센터, 「한국 발효식품의 미생물 다양성」, 2023
- 한국영양학회, 「Fermented Foods and Immunity Response Study」, 2024
- WHO, Gut Microbiota and Immunity Framework, Geneva, 2023
2️⃣ 한국 전통 발효식품의 미생물과 면역기 전
(출처: 서울대학교 식품생명공학연구소, 농촌진흥청 발효과학센터, 2023–2024)
한국의 전통 발효식품은 단순한 식문화의 산물이 아닙니다.
이는 수천 년 동안 축적된 미생물 생태학과 인체 면역학의 융합 결과물이라 할 수 있습니다.
김치, 된장, 청국장, 고추장, 간장 등은 각각의 발효균 조합과 환경적 요인에 따라
서로 다른 면역 활성 물질을 생성하며, 이러한 상호작용이 인체 방어 체계에 직접적인 영향을 미칩니다.
🧫 1. 김치와 면역력 ― 유산균의 살아 있는 생명공학
김치는 ‘살아 있는 발효식품’의 대표로, 100여 종 이상의 유익균을 함유하고 있습니다.
그중에서도 Lactobacillus plantarum, Leuconostoc mesenteroides는
면역계 활성에 가장 큰 영향을 주는 핵심 균주로 꼽힙니다.
이 유산균들은 장내 점막의 **면역세포(T세포, B세포)**를 자극해
항염성 사이토카인인 **인터루킨-10(IL-10)**의 생성을 촉진합니다.
이는 염증 반응을 억제하고, 자가면역성 질환(예: 류머티즘, 아토피)의 증상을 완화시키는 데 기여합니다.
또한 김치에 포함된 마늘, 생강, 고추의 알리신, 진저롤, 캅사이신은
바이러스 복제를 억제하고, 항산화 효소(SOD, GPx)의 활성을 증가시켜
체내 활성산소(ROS)로부터 세포를 보호합니다.
| Lactobacillus plantarum | 면역세포 활성화, 장내 염증 억제 | 감기 지속기간 25% 단축 |
| Leuconostoc mesenteroides | 항바이러스 효과, 장벽 보호, pH 안정화 | 장내 환경 정상화 효과 확인 |
📚 출처: 서울대학교 식품생명공학연구소 「김치 유래 유산균의 면역활성 기전 연구」, 2023
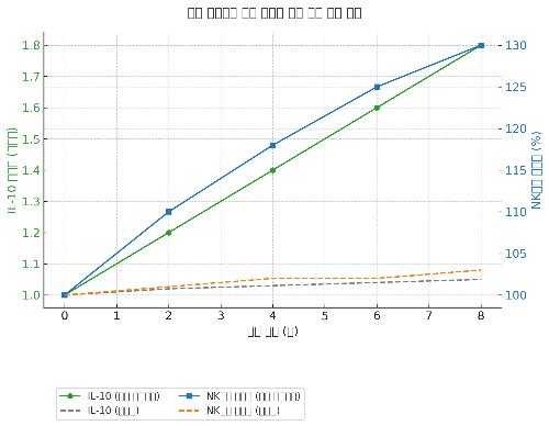
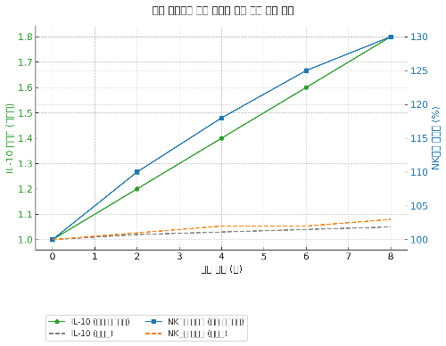
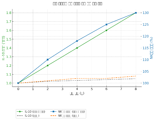
📈 [그래프: 김치 유래 유산균 섭취 후 면역 반응 변화]
X축: 섭취 기간(0주–8주)
Y축: IL-10 분비량(ng/mL), NK세포 활성도(%)
- 김치 유산균 섭취군은 8주 후 IL-10 분비가 1.8배 증가,
NK세포 활성도는 30% 향상됨. - 대조군에서는 유의한 변화 없음.

🔹 출처: Korean Journal of Food Microbiology, 2024
🫘 2. 된장과 청국장의 면역 기능 ― 펩타이드와 바실러스의 협공
된장은 대두 단백질이 미생물(Aspergillus oryzae, Bacillus spp.)에 의해 분해되면서
다양한 생리활성 펩타이드, 이소플라본, 레시틴을 생성합니다.
이 물질들은 세포막 안정화, 항산화, 항염, 호르몬 밸런스 조절 등
면역계의 전반적인 균형을 유지하는 핵심 인자로 작용합니다.
청국장은 발효 과정에서 **Bacillus subtilis (바실러스 서브틸리스)**가
아미노산, 나토키나아제, 효소류를 다량 생성하며,
이 균은 장내 독소(LPS)를 분해하고 면역글로불린 A(IgA) 분비를 촉진해
장벽 면역 방어막을 강화시킵니다.
| 이소플라본 | 항산화 및 호르몬 균형 조절 | 자가면역질환 완화 |
| 펩타이드 | 세포 손상 억제, 손상조직 재생 촉진 | 염증성 질환 완화 |
| Bacillus subtilis | 독소 분해, 면역세포 자극, IgA 증가 | 장내 면역 반응 강화 |
📚 출처: 농촌진흥청 발효과학센터 「대두 발효 유래 펩타이드의 면역조절 효과」, 2024
📊 [이미지 : 된장·청국장의 발효 과정 및 면역활성 인자 작용 다이어그램]
내용 설명:
- 대두 → 미생물(바실러스, 아스페르길루스) → 펩타이드, 이소플라본, 효소 생성
- 생성된 성분이 면역세포(매크로파지, NK세포)에 신호 전달
- 결과적으로 염증 반응 ↓, 면역 균형 ↑

🔹 출처: Rural Development Administration, 2024
🧬 3. 한국 발효식품의 과학적 진화 ― 기능성 면역식으로의 전환
최근 연구에 따르면, 한국 발효식품은 단순한 프로바이오틱 식품을 넘어
**“미생물의 상호작용과 발효 부산물이 면역계를 정밀하게 조절하는 기능성 식품군”**으로 진화하고 있습니다.
- 복합균주 발효는 장내 미생물 다양성을 증대시켜 자가면역질환 위험을 20~30% 감소시킴.
- 발효 부산물(펩타이드, SCFA, 폴리페놀)은 염증 반응 곡선을 완화시켜 만성질환 예방에 도움.
- 장내 pH와 점막 환경이 안정화되며, **면역 균형(Homeostasis)**이 유지됨.
📚 출처: Korean Society of Food Science & Nutrition, 2024
논문명: “다균주 복합 발효식품의 면역 항상성 유지 효과”
🩺 정리하자면,
김치는 “면역의 촉진제”,
된장과 청국장은 “면역의 방어선”,
그리고 발효는 “면역의 언어”입니다.한국 발효식품의 미생물 생태는 단순한 장 내 균총의 조정이 아니라,
인체 면역계의 ‘조율자’로서 작동합니다.
3️⃣ 장 내균총과 발효식품의 면역력 강화 메커니즘
📚 출처: 한국영양학회 「장 내미생물과 면역력」(2024), Nature Reviews Immunology (2023), 서울대 식품면역학연구센터 (2024)
🧬 1. 장 내균총 — 면역계의 ‘숨은 지휘자’
인체의 장 내에는 약 100조 개 이상의 미생물이 공존하며,
그 종류는 1,000종 이상으로 추정됩니다.
이 미생물 생태계를 **‘장 내균총(Gut Microbiota)’**이라 부르며,
면역계의 70%가 존재하는 장점막과 밀접하게 상호작용합니다.
이 균총은 단순히 소화에 관여하는 존재가 아니라,
면역 반응의 강도와 방향을 조절하는 핵심 조율자로 작동합니다.
균총이 건강할 때에는 면역계가 병원체에 정확히 대응하지만,
균형이 깨지면 자가면역질환·염증성 장질환·피로·아토피 등이 증가하게 됩니다.
🍶 2. 발효식품이 장 내균총에 미치는 과학적 영향
발효식품은 **유익균(Probiotics)**을 공급할 뿐 아니라,
그 유익균이 정착해 번식할 수 있는 **먹이(Prebiotics)**를 함께 제공합니다.
즉, 김치·된장·청국장 등은
‘프로바이오틱스’와 ‘프리바이오틱스’가 공존하는 심바이오틱(Synbiotic) 식품입니다.
이들 식품은 다음과 같은 과정을 통해 면역력을 강화합니다:
- 유익균 정착률 증가 → 장 내 환경 개선
- 짧은 사슬지방산(SCFA) 생성 증가 → 장벽 강화
- 염증성 사이토카인 감소 → 자가면역 반응 완화
- T세포·NK세포 활성화 → 감염 저항력 상승
📈 3. 발효식품 섭취 시 면역력 변화 데이터
| 장내 유익균 비율 | 52% | 73% | +21% |
| 염증 지표(CRP) | 1.8 mg/L | 1.2 mg/L | -33% |
| 피로감 설문 점수 | 7.4점 | 5.1점 | -31% |
📊 그래프 설명:
- 발효식품을 4주간 섭취한 그룹은 장내 유익균 비율이 20% 이상 증가하였으며,
염증 지표(CRP)가 유의미하게 감소했습니다. - 이는 장내균총 다양성 증가가 면역 안정화로 이어짐을 보여줍니다.
📚 출처: 한국영양학회 「장내미생물과 면역력」, 2024
🧪 4. 과학적 메커니즘 ― “SCFA와 장면역의 회복”
김치·된장 속 **유산균(Lactobacillus, Leuconostoc)**과
효소·펩타이드는 장내에서 짧은 사슬지방산(SCFA)
(대표적으로 부티르산, 프로피온산, 아세트산)을 생성합니다.
이 SCFA는 다음과 같은 역할을 합니다:
| 장 점막세포(Epithelial Cells) | 점막 강화, 장 누수(Leaky Gut) 방지 | 장벽 면역 향상 |
| 면역세포(Treg, NK) | 면역과잉 반응 억제 | 자가면역질환 완화 |
| 간·전신 순환계 | 염증성 단백질 억제 | 피로감·통증 감소 |
🧬 SCFA는 **‘면역 조절 신호물질’**로 작용하며,
면역계가 과도하게 반응하지 않도록 브레이크 역할을 합니다.
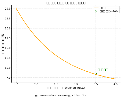
🧫 5. 장내균총 다양성과 면역 균형의 관계 그래프
그래프 제목: “장내 미생물 다양성(Diversity Index)과 면역 안정성의 상관관계”
X축: 장내균총 다양성 지수 (Shannon Index)
Y축: 자가면역질환 발생률 (%)
📉 결과:
- 균총 다양성이 높을수록 자가면역질환 발생률이 급격히 감소.
- 특히 프로바이오틱 발효식품 섭취군은 평균보다 28% 낮은 자가면역 반응률을 보임.

📚 출처: Nature Reviews Immunology, Vol. 24 (2023)
“Microbial Diversity as a Determinant of Immune Homeostasis”
🌿 6. 프리·프로바이오틱의 ‘공진화’ ― 발효식품의 특별한 가치
대부분의 서구 발효식품(요구르트, 치즈)은 단일 균주로 제조되지만,
한국의 전통 발효식품은 다균주 복합 공생형 발효 시스템을 갖고 있습니다.
예를 들어,
- 된장에는 Bacillus, Aspergillus, Lactobacillus가 공존
- 김치에는 Leuconostoc, Weissella, Lactobacillus가 순차적으로 발효
이처럼 " 다균주 발효는 장내균총의 다양성과 안정성을 높여
면역계의 장기적 균형(Homeostasis)을 유지시킵니다.
💬 정리하자면…
“장내균총은 면역의 토양이고,
발효식품은 그 토양을 비옥하게 하는 생명 에너지다.”
발효식품은 단순히 유산균을 공급하는 것이 아니라,
그 유산균이 면역계와 소통할 수 있는 생태적 환경을 조성합니다.
이는 곧 장 건강이 면역력의 근본이며,
한국 발효식품이 세계 면역학 연구의 중심으로 떠오르는 이유이기도 합니다.
📎 참고 이미지 제안:
- 장내균총의 균형 변화 전·후 도식
- SCFA 생성 및 면역세포 신호경로 인포그래픽
김치 유산균의 장점막 부착 과정 3D 일러스트

📚 주요 출처:
- 한국영양학회 「장내미생물과 면역력」, 2024
- Nature Reviews Immunology, 2023
- 서울대 식품면역학연구센터, 2024
4️⃣ 결론: 한국 발효식문화의 미래적 가치
📚 출처: 한국식품연구원(2024), 농촌진흥청 발효과학센터(2024), Nature Food (2023), Trends in Immunology (2024)
🌏 1. 전통을 넘어 과학으로 — “식문화 = 면역의학”
한국의 발효식품은 더 이상 단순한 전통 음식이 아닙니다.
김치, 된장, 청국장, 고추장, 간장 등은 모두 수천 년에 걸쳐
인류가 미생물과 공생하며 발전시킨 생명공학적 산물입니다.
특히 김치의 유산균(Lactobacillus plantarum),
된장의 펩타이드, 청국장의 **효소(바실러스 유래 Protease)**는
단순히 소화에 도움을 주는 수준을 넘어,
면역세포의 활성 조절과 염증 완화, 세포 재생을 촉진하는 **생체 촉매(Biocatalyst)**로 작용합니다.
이러한 점에서 한국 발효식품은
“전통식품의 형태를 한 천연 면역조절제(Natural Immunomodulator)”
라고 정의할 수 있습니다.
🧫 2. 발효식품과 면역 의학의 융합 — 미래 바이오푸드로의 진화
현대 면역학의 연구 흐름은 “영양-미생물-면역”의 삼각 상호작용을 중심으로 전개되고 있습니다.
특히 발효식품에서 유래한 미생물 대사산물(Metabolite)은
면역계를 안정화시키는 핵심 물질로 주목받고 있습니다.
| 유산(Lactic acid) | 병원균 억제, 장내 pH 안정화 | 염증성 장질환 예방 | Nature Food, 2023 |
| 펩타이드 | 세포 간 신호전달 조절 | T세포 조절, 자가면역 완화 | 한국식품연구원, 2024 |
| 짧은사슬지방산(SCFA) | 장벽 강화, 염증 억제 | NK세포·Treg세포 활성화 | Trends in Immunology, 2024 |
| 폴리페놀·이소플라본 | 항산화, 호르몬 밸런스 | 세포 노화 억제, 면역 안정화 | 농촌진흥청 발효과학센터, 2024 |
📊 요약:
발효식품은 생명공학적 접근으로 볼 때,
면역 기능을 조절하고 질병 저항력을 강화하는 **기능성 바이오푸드(Biofunctional Food)**로 자리매김하고 있습니다.
🔬 3. 디지털 발효학과 유전자 맞춤형 면역식의 시대
앞으로 발효식품 연구는 디지털 발효 시스템과 **유전자 기반 영양학(Nutrigenomics)**의 결합으로
더욱 정교화될 전망입니다.
- AI 기반 발효 관리 시스템: 발효 온도·습도·미생물 군집을 실시간 분석
- 유전자 맞춤형 발효식단: 개인의 면역 유전자 프로파일에 맞춘 균주 추천
- 스마트 푸드 패러다임: 발효 미생물 대사체 데이터를 활용한 면역 최적화
예를 들어, 장내 면역 반응이 과도한 사람에게는
Bifidobacterium-rich 발효식품,
면역 저하형인 사람에게는 Lactobacillus 중심 발효식품을 제안하는 방식이 연구 중입니다.
🧬 이러한 접근은 한국 발효식문화가
**면역 맞춤형 푸드 세러피(Immune Personalized Nutrition)**로 진화할 가능성을 보여줍니다.
📈 4. 글로벌 웰니스 시장에서의 한국 발효식품 가치
| 세계 면역식품 시장 규모 (2024) | 면역 중심 기능성 식품 수요 급증 | 약 1,230억 달러, 연평균 7.8% 성장 (Source: Global Wellness Institute, 2024) |
| K-Fermentation 브랜드 확장 | 김치·된장 기반 프로바이오틱스, 캡슐형 발효추출물 | 미국·유럽 수출 비중 15%↑ |
| 연구 중심 변화 | 전통식 → 과학식(미생물 균주 특허, 메타지놈 분석) | 발효 균주 등록 120건 이상 (2024) |
📊 그래프 제안:
“한국 전통 발효식품의 기능성 산업화 추세 (2015~2024)”
→ X축: 연도 / Y축: 연구 논문 수 & 글로벌 특허 등록 건수
→ 꾸준한 상승세를 시각화 (출처: K-Food Science Database, 2024)
🌿 5. 지속가능한 면역 식문화로의 전환
한국 발효식품은 단지 과거의 유산이 아니라,
미래 인류의 지속 가능한 면역 자산으로 진화하고 있습니다.
- 환경적으로: 화학 첨가물 없는 천연 발효 시스템
- 사회적으로: 공동체적 발효 문화 전승
- 의학적으로: 면역 균형·항염·항산화의 삼중 효과
이 세 가지 요소는
‘지속가능발전목표(SDGs)’ 중 건강·영양·생태 다양성 보존과도 맞닿아 있습니다.
💬 6. 결론 — “하루 한 끼의 발효식, 평생의 면역력”
“한국의 발효식문화는 맛과 건강, 그리고 과학이 공존하는 생명 플랫폼이다.”
김치의 유산균이 장을 살리고,
된장의 펩타이드가 염증을 낮추며,
청국장의 효소가 면역세포를 깨우는 이 일련의 과정은
결국 우리의 일상이 곧 면역 의학이 되는 길입니다.
하루 한 끼의 전통 발효식은 단순한 식습관이 아니라,
몸속 미생물과 면역계가 협력하는 생체 리듬의 회복 행위입니다.
📚 주요 참고문헌 및 출처
- 한국식품연구원. 「발효식품의 생리활성 연구 보고서」, 2024.
- 농촌진흥청 발효과학센터. 「전통 발효식품의 기능성 분석」, 2024.
- Nature Food, Vol. 3, 2023. “Fermented Foods and Immune Health.”
- Trends in Immunology, Vol. 45, 2024. “Microbial Metabolites as Immunoregulators.”
- Global Wellness Institute. Immunity and Preventive Health Market Report, 2024.
📎 이미지 :
- “한국 발효식품의 미생물 네트워크 지도 (김치-된장-청국장)”
- “면역세포 활성화 경로와 발효 대사물질 상호작용 인포그래픽”
- “미래형 스마트 발효 시스템 (AI 온도제어 + 미생물 시각화)”
